Tuesday, December 20, 2011

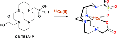
Synthesis, Cu(II) complexation, 64Cu-labeling and biological evaluation of cross-bridged cyclam chelators with phosphonate pendant arms

Synthesis, Cu(II) complexation, 64Cu-labeling and biological evaluation of cross-bridged cyclam chelators with phosphonate pendant arms:

Dalton Trans., 2012, Advance Article DOI: 10.1039/C1DT11743B
Riccardo Ferdani, Dannon J. Stigers, Ashley L. Fiamengo, Lihui Wei, Barbara T. Y. Li, James A. Golen, Arnold L. Rheingold, Gary R. Weisman, Edward H. Wong, Carolyn J. Anderson
New phosphonate-pendant-armed cross-bridged cyclams have been synthesized and conveniently radiolabeled with 64Cu at room temperature.

an unusual and versatile ligand framework for controlling two adjacent sites

No comments:

Post a Comment