Chem. Commun., 2011, Advance Article
DOI: 10.1039/C1CC15501F, Communication
DOI: 10.1039/C1CC15501F, Communication
Alexander R. Parent, James D. Blakemore, Gary W. Brudvig, Robert H. Crabtree
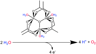
Wilkinson's iridium acetate trimer is a competent precatalyst for water oxidation with NaIO4 but rapidly decomposes using Ce(IV) as a primary oxidant.
To cite this article before page numbers are assigned, use the DOI form of citation above.
The content of this RSS Feed (c) The Royal Society of Chemistry
Wilkinson's iridium acetate trimer is a competent precatalyst for water oxidation with NaIO4 but rapidly decomposes using Ce(IV) as a primary oxidant.
To cite this article before page numbers are assigned, use the DOI form of citation above.
The content of this RSS Feed (c) The Royal Society of Chemistry
No comments:
Post a Comment